Avaliação da mobilidade em tempos de medidas obrigatórias e não obrigatórias da COVID-19 na Noruega

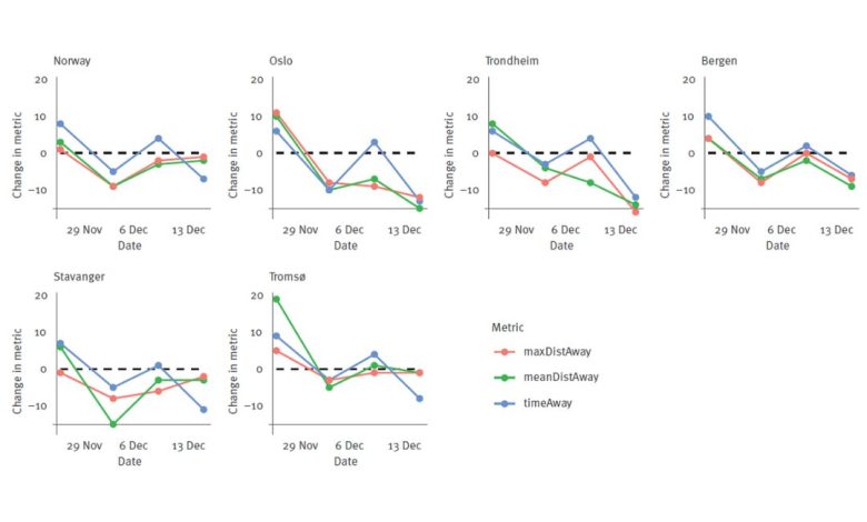
A porcentagem de mudança de mobilidade em cada uma das três métricas de mobilidade da semana anterior à semana após diferentes datas de intervenção é mostrada para regiões selecionadas. As datas de intervenção incluem um ponto temporal de controlo em novembro e três intervenções em dezembro, com medidas não obrigatórias apenas a 3 de dezembro, maioritariamente medidas não obrigatórias a 9 de dezembro e medidas de acompanhamento obrigatórias a 15 de dezembro. Crédito: Eurovigilância
A Noruega, como outros países nórdicos, utilizou amplamente conselhos não obrigatórios durante a pandemia do COVID-19 na tentativa de reduzir os contatos sociais entre as pessoas e, ocasionalmente, recorreu a medidas obrigatórias, especificamente durante os picos de transmissão. Em comparação com intervenções mais rigorosas, as medidas não obrigatórias costumam ser menos invasivas e caras e foram recomendadas em pandemias anteriores, incluindo a influenza.
Em seu artigo de pesquisa publicado na Eurovigilância hoje, Kamineni et al. compare o impacto na mobilidade quando intervenções anteriormente não obrigatórias para conter a transmissão da COVID-19 foram transformadas em medidas não farmacêuticas (NPI) obrigatórias.
Baseado em dados do telefone celular da maior operadora norueguesa, os autores investigaram os efeitos de intervenções que regulamentaram, por exemplo, uso de máscara facial, teletrabalho, distanciamento físico, serviço de álcool, eventos, escolas, academias, restaurantes, bem como lojas e negócios entre janeiro de 2021 e janeiro de 2022. Eles coletou três métricas de mobilidade por dia por pessoa para cada um dos 365 municípios da Noruega: (i) raio de giro, (ii) tempo gasto fora de casa e (iii) a distância máxima de casa.
A análise analisou o efeito de três intervenções nacionais em dezembro de 2021, que variaram de recomendações para trabalhar em casa e reduzir contatos próximos no início de dezembro até regulamentos de eventos, proibindo o consumo de álcool após a meia-noite e a exigência de máscara facial em ambientes internos cerca de uma semana depois e, finalmente, tornando obrigatório o trabalho em casa, proibindo o consumo de álcool, impondo o ensino digital para universidades e a exigência contínua de máscara facial a partir de 15 de dezembro de 2021.
Kamineni et ai. investigou o impacto das medidas em nível nacional, nas cidades maiores Oslo, Stavanger, Tromso, Trondheim e Bergen e em regiões menos populosas da Noruega.
Não obrigatório: Menos invasivo e caro, mas suficiente
A nível nacional, a mobilidade diminuiu após as medidas iniciais não obrigatórias – todas as medidas posteriores, incluindo as obrigatórias a partir de meados de dezembro de 2021, produziram apenas efeitos comparativamente pequenos no raio e na distância máxima longe de casa.
Com base em seus dados, os autores descobriram que as pessoas na Noruega viajaram distâncias mais curtas de casa após a introdução de medidas não obrigatórias. Nas áreas urbanas, a distância percorrida pelas pessoas diminuiu ainda mais quando as medidas se tornaram obrigatórias. Os tempos de viagem também diminuíram, e esse efeito foi mais forte após o mandato legal do que após as intervenções não obrigatórias – tanto nas regiões rurais quanto nas urbanas.
Regras de parquímetro mais rígidas e reabertura de academias, restaurantes e lojas provocaram mudanças no comportamento das pessoas.
Os autores observam que “curiosamente, após mandatos de acompanhamento, todas as métricas diminuíram em áreas urbanas, enquanto apenas o tempo percorrido diminuiu nas áreas rurais” e que “as intervenções afetaram a distância e o tempo percorrido separadamente. Nacionalmente, os mandatos de acompanhamento impactaram mais o tempo do que a distância, e essas métricas foram influenciadas por diferentes intervenções, regras de medidores mais rígidas e a reabertura de academias influenciaram a distância, enquanto a reabertura de restaurantes e lojas e a flexibilização do distanciamento físico afetaram o tempo”.
Kamineni et ai. argumentam que suas descobertas fornecem informações valiosas sobre a escolha de NPI e se devem torná-las obrigatórias ou não em contextos regionais ou nacionais, argumentando que “medidas não obrigatórias menos invasivas e caras podem ser suficientemente eficazes para áreas rurais no caso da Noruega.”
Mais Informações:
Meghana Kamineni et al, Efeitos das intervenções não obrigatórias e obrigatórias da COVID-19 na distância e tempo de viagem longe de casa, Noruega, 2021, Eurovigilância (2023). DOI: 10.2807/1560-7917.ES.2023.28.17.2200382
Fornecido pelo Centro Europeu de Prevenção e Controle de Doenças (ECDC)
Citação: Avaliando a mobilidade durante os tempos de medidas obrigatórias e não obrigatórias do COVID-19 na Noruega (2023, 27 de abril) recuperado em 27 de abril de 2023 em https://medicalxpress.com/news/2023-04-mobility-mandatory-non-mandatory- covid-norway.html
Este documento está sujeito a direitos autorais. Além de qualquer negociação justa para fins de estudo ou pesquisa privada, nenhuma parte pode ser reproduzida sem a permissão por escrito. O conteúdo é fornecido apenas para fins informativos.






